Islamabad, December 23, 2024 – The Judicial Commission of Pakistan (JCP) has published new rules for the appointment of judges, which will guide the process of judicial nominations in Pakistan. The rules, known as the *Judicial Commission of Pakistan (Appointment of Judges) Rules, 2024*, were introduced in line with the powers granted by the Constitution of Pakistan.
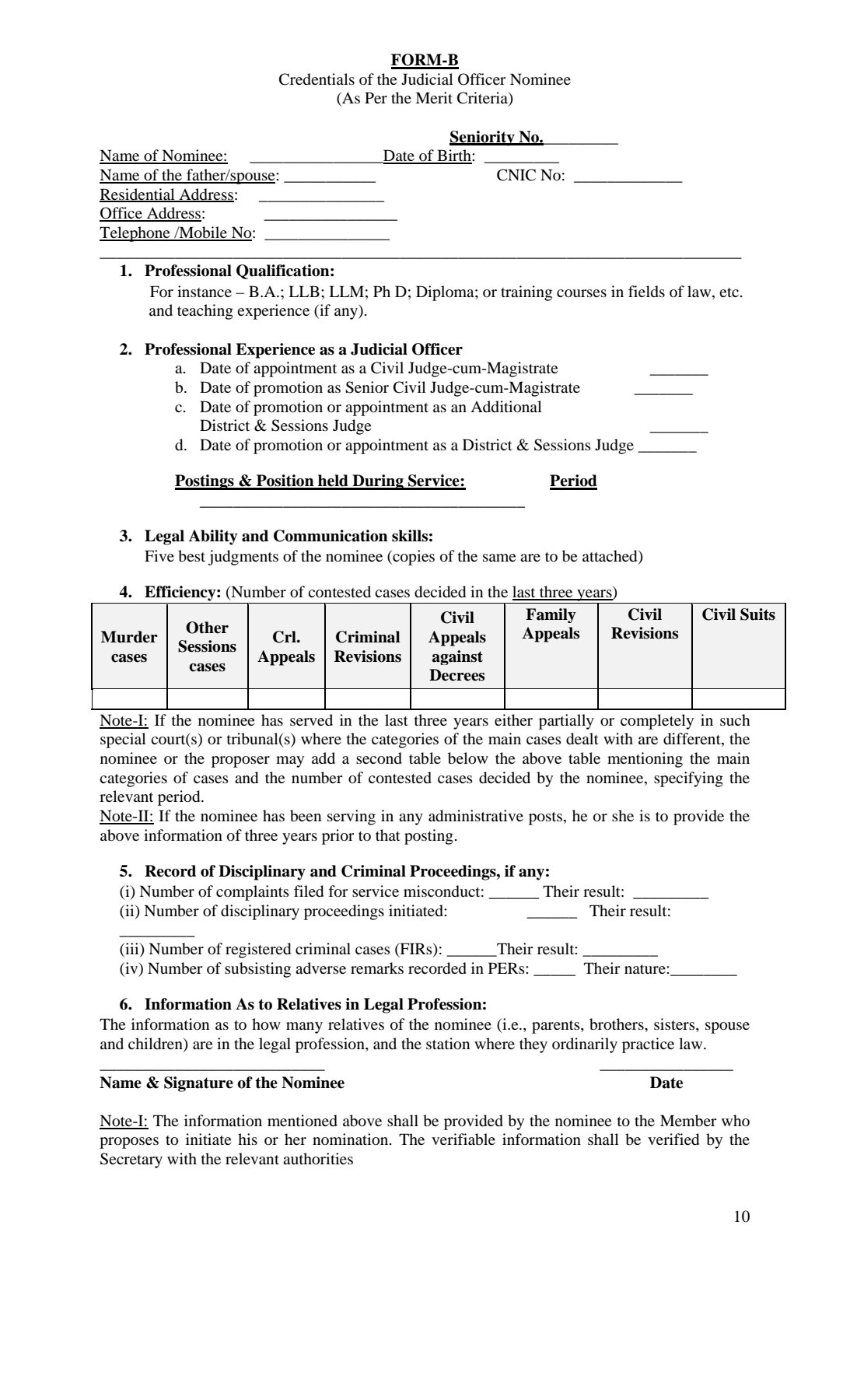
The merit of a nominee will be assessed based on professional qualifications, experience, legal ability, professional conduct, and integrity. Additionally, factors such as judicial efficiency, communication skills, and independence will also be considered. The new rules emphasize fair representation of both advocates and judicial officers in nominations. In particular, the nomination process for judicial officers will factor in their seniority and service record. The rules also mandate the promotion of diversity in judicial appointments, ensuring gender, regional, and religious inclusivity.
Nominations for judicial vacancies will be solicited by the Commission’s Secretariat, which will maintain detailed records of anticipated vacancies in the Supreme Court, High Courts, and the Federal Shariat Court. Nominees must submit their nominations within 15 days, and these will be subject to a thorough verification process, including reports from intelligence agencies. Once nominations are received, the Commission will deliberate in a series of meetings to select candidates. A majority vote of the Commission members is required for a nominee to be selected. If no nominee secures the majority in the first round, additional rounds of voting may be held.
The deliberations of the Commission will generally be confidential, but decisions will be published on the Commission’s website. The public will be made aware of the Commission’s final decisions, while the detailed deliberations will remain private unless decided otherwise. The rules from 2010 are repealed, and the new 2024 rules will guide all judicial appointments going forward. However, actions taken under the previous rules will remain valid.
These new rules mark a significant step towards a more transparent, efficient, and inclusive judicial appointment process in Pakistan. By clearly outlining the criteria for appointments, the rules aim to ensure the highest standards of judicial competence and integrity in the country’s courts.
The judicial Commission of Pakistan (Appointment of Judges) Rules, 2024 come into force immediately and will be instrumental in shaping the future of the judicial system in Pakistan.

